

2023年发表于《染料与染色》的文献《间-硝基(三氟甲基)苯连续加氢工艺研究》,以活性炭为载体制备了一款 3%Pt /C 催化剂,并对间-硝基( 三氟甲基)
欧世盛氢气发生器
TH 系列氢气发生器是一款紧凑型高压氢气发生器,采用改性质子交换膜高压电解技术,直接电解纯水,无需增压泵,经过多级净化,得到高压高纯氢气。发生器内置多个高灵敏度压力、温度、液位、氢气传感器结合嵌入式操作系统,使维护更简便,使用更安全,操作更友好。

01纯度高:电解水制氢,随用随产,氢气纯度达到99.999%
02取代钢瓶:7MPa工作压力,取代实验室高压氢气钢瓶,plus型号可达9.9MPa
03安全保护:三重压力安全保护措施,确保高压氢气发生器运行安全
04按需设置压力上限:
根据使用需要,可设置压力上限值,延长电解池使用寿命
05干燥剂寿命提醒:
避免由于干燥剂失效,导致水汽流入后续系统
06缺水报警:非接触式高灵敏度液位检测,实现缺水报警,避免水位低导致电解池损坏
07氢气泄露报警:内置高灵敏度氢气传感器,若氢气泄露,软件提示并蜂鸣报警
导图

实验方法
>>>>实验材料
研究中用到多种原料与试剂。包括作为原料的间 - 硝基 (三氟甲基) 苯、作为溶剂的甲醇 / 乙醇 / 异丙醇、以及催化剂前驱体氯铂酸,还包括自制的 3% Pt/C 催化剂、99.9% 工业氮气及超纯水。
>>>>实验仪器
研究中用到的仪器包括分析天平、砂芯过滤器、真空泵、恒流泵、微通道连续加氢装置、100mL 高压反应釜、超纯水机、氢气发生器、Agilent 1260 Infinti II 液相色谱仪。其中,氢气发生器作为微通道连续加氢装置的主要组件之一,由欧世盛公司提供。
>>>>实验流程
催化剂制备与还原:通过浸渍法制备 3% Pt/C 催化剂。活性炭与水混合加热后,加入氯铂酸溶液搅拌浸渍,过滤润洗得未还原催化剂;填充反应床后,经氮气 - 氢气置换,140℃下氢气吹扫 2h 完成还原。
连续催化加氢:将背压阀压力设置为 0. 5 MPa 对反应器进行氮气置换、氢气置换,设置所需背压阀压力,设置氢气流量为使用值,设置反应温度后,将间-硝基( 三氟甲基) 苯溶液按照设置好的流速排除管路内空气并缓慢打入反应床内,每间隔 1h 通过取样阀进行取样。
产物分析:采用高效液相色谱法,以甲醇与 0.5% 磷酸水溶液为流动相,对产物、原料及副产物进行定性定量分析。
>>>>实验条件筛选
实验考察了不同因素对反应的影响。包括溶剂类型(甲醇、乙醇、异丙醇、无溶剂)、反应温度(60-140℃)、反应压力(0.5-2.5MPa)、气体流量(60-100mL/min)、液体流量(0.3-1.0mL/min)。分别研究了这几个变量对反应的影响,筛选出反应条件,最后通过连续化实验对催化剂稳定性进行验证。
实验结果
>>>>反应影响因素
在溶剂研究中发现,甲醇和异丙醇反应的选择性和转化率较高,溶剂为异丙醇时反应存在少量原料 ( 0. 53%) 未转化,因此后续的条件筛选使用甲醇为溶剂。在温度研究中发现,60-100℃时,60 ~ 100 ℃ 升高温度能够提高转化率和选择性,当温度高于 100 ℃ 时反应选择性下降。压力研究中发现,升高压力会提高反应的转化率和选择性,当压力达到 1. 5 MPa 时,继续升压力所提升的反应效果并不明显,可能由于反应液中加氢需要的氢气量已经足够。气液流量过低会导致反应效率较低,研发发现,当气体流量达到100 mL /min 时,转化率达到 100%;而液体流量保持在 0. 5 mL /min 是较优条件。
>>>>催化剂性能
在上述筛选出的条件下进行连续催化反应,可实现原料转化,转化率可达到100%、目标产物选择性性可达到 97. 75%,催化效率优秀。稳定性方面,连续运行 440min 内性能稳定,但450min 之后产物的选择性明显降低,这是由催化剂活性降低所致。
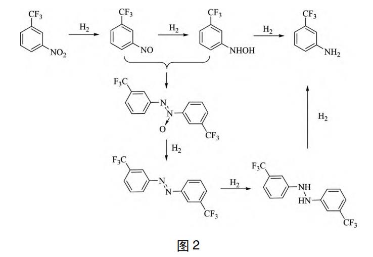
对连续运行的反应液进行液质分析发现,存在分子量分别为 176、318 及 900 的副产物,推测分子量为 176 的副产物为不wanquan加氢产生的亚硝基物,结构可能为间-亚硝基( 三氟甲基)苯; 分子量为 318 的副产物主要为偶氮化合物。
研究结
成功制备了 3% Pt/C 催化剂,活性优,适用于间 - 硝基 (三氟甲基) 苯连续加氢反应。确定微填充床反应器中该反应的工艺条件:温度 100℃、压力 1.5MPa、气体流量 100mL/min、液体流量 0.5mL/min,在此条件下连续运行 440min时,反应转化率 100%,产物选择性 97.75%。
研究亮点及意义
研究采用微填充床装置进行间 - 硝基 (三氟甲基) 苯连续加氢,解决传统间歇工艺气液固混合不均、传质传热效率低的问题,提升反应稳定性与安全性。自制 3% Pt/C 催化剂表现出高活性与稳定性,具备实际应用潜力。明确反应副产物类型及可能结构,为后续工艺优化(抑制副反应、延长催化剂寿命)提供理论依据。
间-( 三氟甲基) 苯胺是一种重要的化工中间体,主要用于合成染料、医药。该研究为间 -(三氟甲基) 苯胺生产的工业化升级提供了理论支持和技术支撑,助力染料、医药等传统行业的高效绿色生产。
主要图表
图 2 反应机理

图 3 微通道连续加氢反应器

图 4 不同溶剂的筛选

图 5 不同温度的筛选

图 6 不同压力的筛选

图 7 不同液体流量的筛选

图 8 催化剂活性随时间变化曲线

表 2 不同副产物结构

参考文献
安亭旺,纪璐,明卫星,俞鸿博,魏微,鄢冬茂.间-硝基( 三氟甲基) 苯连续加氢工艺研究[J].染料与染色,2023,60( 5) : 38-41.